Monte Carlo Simulations of Adsorption Probability Data
Kisliuk & Langmuir Kinetics
The proposed algorith is consistent with the traditional Kisluik precursor model as well as with Langmuirian kinetics.
![]()
Adsorbate assisted adsorption
Two examples of parameter sets which lead to an increase of the adsorption probability with coverage. This effect is in contrast to traditional precursor models has however been observed experimentally for a number of system.
![]()
Lateral Interaction Energies
Effect of lateral interaction energies for two different sets of dynamic parameters.
![]()
Precursor lifetime
Effect of the presursor life time (hop number of the precursor state)
![]()
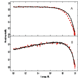
Comparisons with experimental data.
.:click images for larger examples:.




